2023/02/15 美股盘前分析
:::danger
undergo a downturning phase
:::
经历一个低迷阶段
列表哥持续看红的心可昭日月。
新闻摘要:
随着阿达尼危机继续占据新闻头条,印度市场一直动荡不安,但分析师表示,这可能是一个机会。
新加坡副总理说,在经济疲软和通货膨胀的背景下,新加坡面临着“微妙的平衡”决策问题。
中国电动汽车初创企业吉都计划使用类似 ChatGPT 的技术
—
资金流分析:
SPY 价减,几乎全线流出
QQQ 价增,几乎全线流出
IWM 价减,全线流入
DIA 价减,大中小单流出
资金流呈现空方形态的后盘表现,但是总体变化不大,小盘股再次轮动得到资金流入,大盘股流出为主。
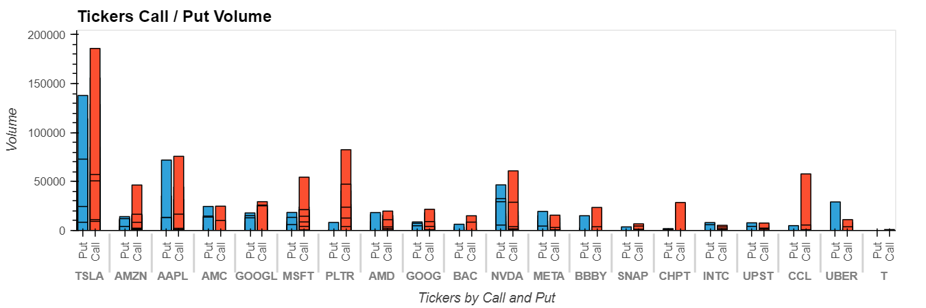
最后是期权的变化情况:



“,40,TRUE,FALSE,FALSE,TRUE,,2022-02-15-mei-gu-pan-qian-fen-xi–e1g8qnxjwewpmry5”