2024/01/12 美股盘后小结 TSLA

今天列表哥的点位翻了好几倍,神位置,老列表粉了,特斯拉为什么这么空我其实不知道,群友说基本面不太好看,群里的小伙伴具体可以参考大法师的法财大计频道的内容,里面有大法师对特斯拉未来的看法。我最近都是见什么做什么,因为今天特斯拉就是有着很空的期权分布,最低看217.5,的确今天的最低位置就在这里附近,所以你们问我为什么会知道那里是今天的底,就是根据这里来猜测的了。

TSLA 由 1.2 到 5.4 / 纯肉的厚度是350%
作业流程(截止于写笔记的时候)

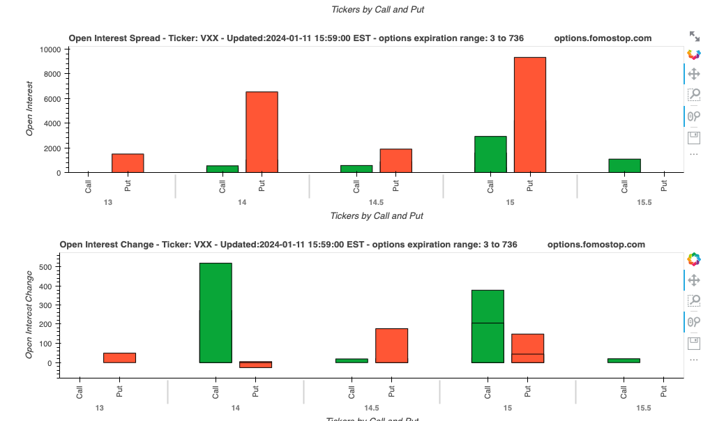
对于下周的看法,目前数据呈现的有勇敢抄底的玩家,但是我看到类似vxx这类恐慌指数的数据并不是很看多,同时smart money昨天的表现也不是踊跃进场,所以暂时未能确认有逆转趋势呢。(周一开盘反弹是不可能的了,因为那天不开市,美国马丁路德金节假日^_)

所以,犹豫的小伙伴不妨省省时间损耗,下周有了最新数据,周末想清楚,分析清楚再作定段吧。周末愉快,下周再战。