2023/06/05 美股盘后小结 DIS

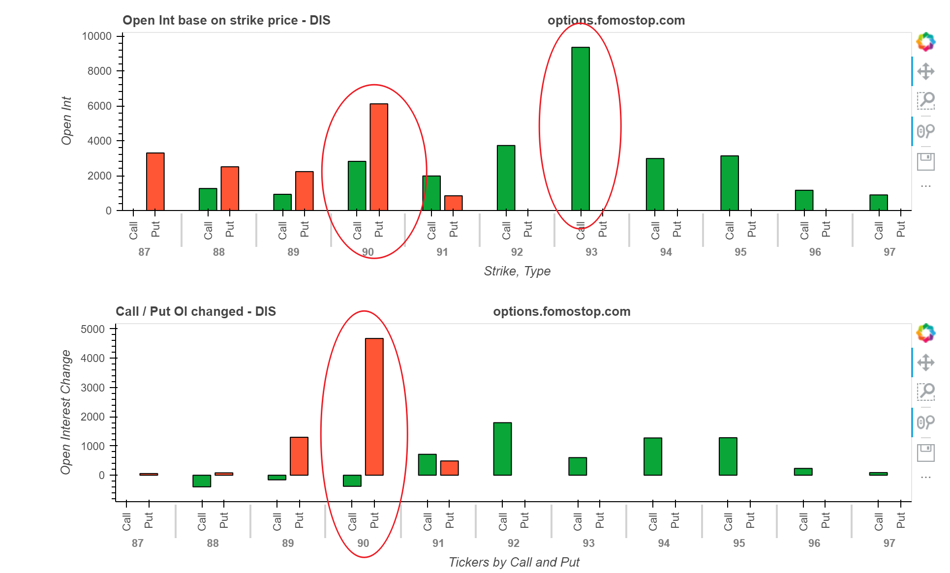
今天大盘在WWDC发布会前主要是往下开波然后慢慢回头,这期间我们也没用动作,列表哥的作业是埋伏了DIS,期初我只能通过我们的期权分析工具粗略知道目前看涨的人多于看跌,同时90是Put的一个反抗水平,也可以看出。万万没想到是埋伏了苹果发布会里面,这个Vision Pro的新设备背后的技术团队来自于迪士尼。在发布会弹出迪士尼的时候估价就奋起直拉,作业翻倍。

DIS由1.1 到2.29 肉厚 108% 这一步实在很佩服,我期间测试SPY call的亏损完全可以忽视了。
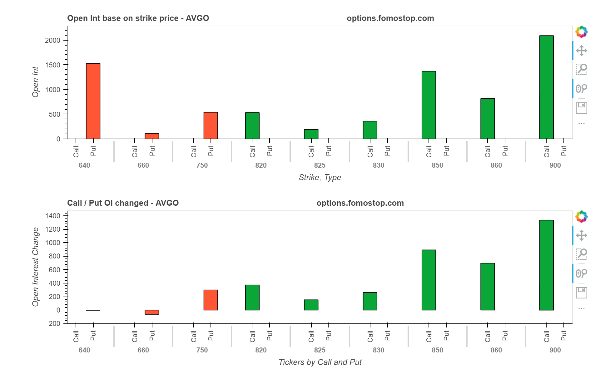
还有群友发觉AVGO挺漂亮的看多分布:
