2023/08/08 美股盘后小结 NKE

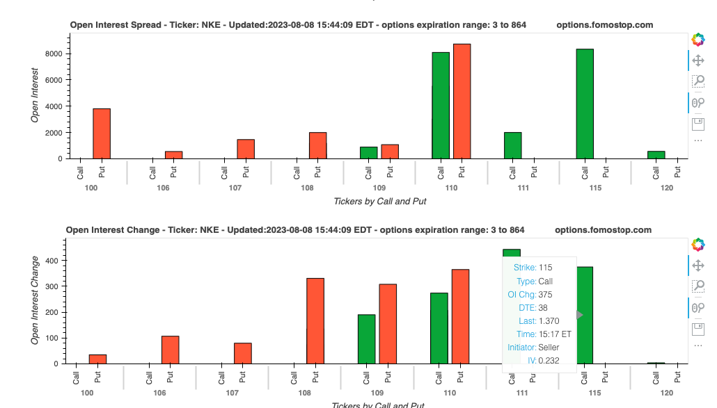
今天大盘的走势先是暴力下跌,然后慢慢爬升了两个多小时,收盘时候的大盘虽然还是红盘,但这样慢慢爬升到底是什么行为,如果看日线那就出了不少锤子线了,总的来说符合昨天的WIlling,列表哥在尾盘捡了一个NKE的中期CALL,群友也发现这个位置今天存在增量,同时今天也有aggresive的put,结合时间的位置,后盘的反弹也make sense,然而要注意的是目前这个位置115CALL的增量发力的是Seller,所以还不是很纯正,这可能是SL幅度也不小的原因

收盘在1.46,应该大部分人在看过夜表现再作调整吧,同时群友也说了明天没有什么大事件,后天开始公布CPI数据,
| THURSDAY, AUGUST 10 | |||||
| 8:30 am | Initial jobless claims | Aug. 5 | 231,000 | 227,000 | |
| 8:30 am | Consumer price index | July | 0.2% | 0.2% | |
| 8:30 am | Core CPI | July | 0.2% | 0.2% | |
| 8:30 am | CPI (year-over-year) | 3.3% | 3.0% | ||
| 8:30 am | Core CPI (year-over-year) | 4.7% | 4.8% | ||
| 2:00 pm | Treasury budget | July | -$95B | -$211B | |
| FRIDAY, AUGUST 11 | |||||
| 8:30 am | Producer price index | July | 0.2% | 0.1% | |
| 8:30 am | Core PPI | July | -- | 0.1% | |
| 8:30 am | PPI (year-over-year) | -- | 0.1% | ||
| 8:30 am | Core PPI (year-over-year) | -- | 2.6% | ||
| 10:00 am | Consumer sentiment (prelim) | Aug | 72.0 | 71.6 |
NKE 由1.4 到1.46 暂时小肉,关注数据变化尤其重要,今天这个多军的防守还是打得很明显的
